DCプラグ・ジャック ―――――――― DC(直流)電源用のプラグ・ジャック
用途 コンピュータ関連機器、ヘッドホンステレオ、ゲーム機器、ACアダプタ、 その他ポータブル電子機器類の電源の入出力に使用されます。
DCプラグ |
|
|
|
|
規格は外径に対して内径の種類を表わしています。 |
|
(表 1) |
||
|
|
|
|
|
外径 mm |
3 |
5.5 |
5.5 |
6.3 |
|
|
|
|
|
内径 mm |
1.1 |
2.1 |
2.5 |
3.1 |
|
|
|
|
|
センターピンの有無 |
- |
- |
- |
1 |
|
|
|
|
|
EIAJ極性統一規格プラグ・ジャック (センタープラス、外側マイナス)外部電源プラグ・ジャックについて、極性誤接続及び電圧誤接続等を防止するため、
(社)日本電子機械工業会が平成2年1月この規格を標準化したもので、番号によって電圧レベルを決められています。
|
|
|
(表 2) |
|
|
|
|
|
|
|
|
規格 |
EIAJ 1 |
EIAJ 2 |
EIAJ 3 |
EIAJ 4 |
EIAJ 5 |
|
|
|
|
|
|
外径 mm |
2.35 |
4 |
4.75 |
5.5 |
6.5 |
|
|
|
|
|
|
内径 mm |
0.7 |
1.7 |
1.7 |
3.3 |
4.3 |
|
|
|
|
|
|
センターピンの有無 |
- |
- |
- |
1 |
1.4 |
|
|
|
|
|
|
電圧 |
DC3.15V以下 |
DC3.15~6.3V |
DC6.3~10.5V |
DC10.5~13.5V |
DC13.5~18.0V |
|
|
|
|
|
|
DC ジャック
DCジャックの使い方
AC アダプタには DC プラグが付いているものが多いです。AC アダプタを使うには、DC ジャックのつなぎ方を 覚えなくてはなりません。
DC ジャックには、いくつかの大きさがあるので、使う AC アダプタに合うものを選びます。 DC プラグは、内 側と外側に端子がついています。どちらが+かは、アダプタの背面に書いてあります。

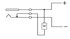
このような記号の場合、外側が-, 内側が+であることをしめしています。(中央の極が+なので、センター+と呼びます)
一方 DCジャックには 3つの端子があります。+/-以外にもう一つ? 一体何に使うのでしょう?それは、電 池を繋いで使えるようになっているのです。アダプタを繋いでいないときは回路の電源が電池に接続され、アダプタを繋ぐと電源がアダプタの外側の端子につながるようになっているのです。DC プラグを差し込むとそ の切り替えスイッチが働いて、電池側が切り離され、ACアダプタ側につながるようになっています。この機構のおかげで、電池とACアダプタを直接つながり、電池へ電流が流れ込んでしまわずに済みます。

センター+のときは、上の回路図のように繋げばよいのです。(センター-のときは、回路図の+/-を全て反転させて繋ぎます)電池を使わないときには、繋がなくてもいいです。この場合 DC ジャックの2端子だけを使います。まず、センターの端子ですが、これは DC ジャックの後ろから出ている場合がほとんどです。テスターを導通レンジにして、センターのピンとその端子が導通していることを確認してください。あとの2つの 端子の見分け方は、AC アダプタをコンセントに差し込み、センターともう1つの端子間の電圧を測ってみればわかります。電圧があった方が回路図の3番の端子になります。残った一本が電池を繋ぐ2の端子になります。
2の端子は DC ジャックの横に、3の端子は下に、1の端子(センター)は奥に付いていることが多いです。 間違えないように繋がなければなりません。
カープラグ(シガープラグ)
自動車のシガーライターソッケトから電源を取り出すときなどに使用する。
| ヒューズ無しタイプ | ヒューズ内蔵タイプ |
![]() |
![]() |
カージャック(シガージャック)
| パネル取り付け | コード付 | 二股タイプ |
![]() |
![]() |
![]() |
注意
配線するときには、自動車によって極性(+,-)が違うので確認してから配線をします。
ヒューズ内蔵タイプのプラグは、使用する電気製品によってヒューズ規格を選ばなければなりません。