SPICE
LTspiceを活用した整流回路シミュレーション(SPICE入門講座)
マルツのSPICE入門講座「LTspice超入門」。
LTspiceを活用した整流回路シミュレーションの資料とサンプルプログラムを公開しました。
・出力特性を検証する
・平滑コンデンサのESRの影響を検証する
・突入電流を検証する
・デバイスの損失計算を検証する
これらの場合について、シミュレーションデータを公開しています。
サンプルプログラムを公開しています。以下からファイルをダウンロードいただき、設定や操作をお試しください。
http://www.marutsu.co.jp/contents/shop/marutsu/datasheet/Bridge_Circuit_LTspice.zip
※リンク先の圧縮フォルダ中にパワーポイントの資料と、サンプルプログラムが入った圧縮フォルダが含まれています。
シミュレーション用の整流回路図を作成する際にはの3つの注意点がございます。
1)GNDの配置
2)Rs抵抗値
3)平滑コンデンサのESRの考慮
GNDの配置については、下記の回路図をご参考ください。


Rsの抵抗値についは、実際に測定出来れば測定値を入力します。
測定値が無い場合、下記の値が目安になります。
▽コモンモードチョークコイルがある場合
Rs=ライン抵抗+コモンモードチョークコイルの抵抗成分=0.5+1.6=2.1[Ω]
▽コモンモードチョークコイルが無い場合
Rs=ライン抵抗=0.5 [Ω]
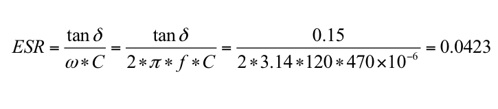
また、平滑コンデンサのESRの考慮をすることで、ESRを考慮したシミュレーションが可能です。
カタログにESR値がある場合はその値を採用します。
カタログ値にESRの表記がなく、tanδしかない場合でも、計算でESRを算出できます。

LTspiceの基本的な操作方法については、以下の資料で公開中です。
LTspice超入門 マルツエレック marutsuelec from マルツエレック株式会社 marutsuelec
LTspiceの操作方法に関する資料は、下記のページからダウンロードいただけます。
https://www.marutsu.co.jp/select/list/detail.php?id=240
マルツではSPICEを活用した回路シミュレーションサービスをご提供しております。
回路シミュレーションに関するご相談は随時受け付けております。
お問い合わせは下記フォームより、お願いいたします。
https://www.marutsu.co.jp/InquiryInput.jsp?inqContentType=14




