マルツTOP > APPLICATION LAB TOPページ > おすすめ技術記事アーカイブス > 電流出力DACとTIAを使用してLEDの輝度を精密制御
電流出力DACとTIAを使用してLEDの輝度を精密制御
著者 Stephen Evanczuk 氏
Digi-Keyの北米担当編集者 提供
2020-01-02
マルツ掲載日:2020-03-23
発光ダイオード(LED)は、その物理的な丈夫さ、長寿命、効率性、高速スイッチング能力、小さなサイズのため普及しています。LEDは白熱電球よりも1Wあたりの発光量が大きく、効率はサイズや形状に左右されません。
とはいえ、広く使用されていて、それを支える技術があるにも関わらず、LEDの輝度を精密に制御することは現在でも容易ではありません。その理由は多数あり、各LEDの波長の物理学に関係しているのですが、適切な部品と設計手法を採用すれば精密な輝度制御を実現することもできます。
この記事では、LEDの正確な輝度を実現することに関する問題を手短に検討します。次に、プログラム可能な電流出力の14ビットD/Aコンバータ(DAC)、オペアンプ、高精度アナログマイクロコントローラを組み合わせて、LEDの精密な輝度制御を行う方法を示します。その例として、Analog Devicesの部品を使用します。
LEDアレイ/アプリケーション
LED半導体は、アノードからカソードへ流れる電流によって発光する光源です。この半導体の電子が正孔と再結合し、光子の形でエネルギーを放出します。電子が半導体のバンドギャップを越えるのに要するエネルギーによってLED光の色が決まります。
このLEDの電気的な挙動は、通常のダイオードと似ています。通常のダイオードと同じく、このデバイスは順方向バイアス状態で過駆動しないことが大切です。過駆動されたダイオードは過熱し、最悪の場合、開回路になってしまいます。このLEDに順方向バイアスをかけると、LEDに電流が流れて発光し、アノードからカソードにかけて電圧降下が生じます(図1)。


図1:20mAの順電流を流した場合に、各色のLEDに生じる異なった順方向電圧。(画像提供:Digi-Key Electronics)
図1で、LEDの順方向電圧は、色(R=赤、O=オレンジ、G=緑、Y=黄、B=青、W=白)によって異なります。通常、LEDは20mAの電流源で駆動して、順方向電圧の値を測定および規定します。LEDを電圧源で駆動したくなりますが、電圧源を精密に制御するのは難しく、LEDを過駆動する恐れがあり、過熱や早期故障の原因になります。
LEDの並列構成と直列構成
よく使われるLED構成は、並列、直列、その組み合わせの3通りですが、ほとんどの場合、LEDを電圧源で駆動し、抵抗器で電流の大きさを制御することが推奨されます(図2)。


図2:LED駆動の3種類の構成は、並列(A)、直列(B)、並列と直列の組み合わせ(C)。(画像提供:Digi-Key Electronics)
LEDが並列ストリング(A)の場合は、すべてのLEDの順方向電圧仕様が同じ、つまり同色のLEDでなければなりません(再び、図1参照)。この構成でも、順方向電圧の製造許容差のため、LEDに流れる電流は等しくなりません。
この並列構成では、おそらく1つ以上のLEDが電流を余分に取って消費してしまいます。したがって順電流/輝度に差がつき、LEDの明るさが異なってきます。これがLEDディスプレイの不均一さの要因になります。
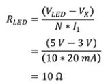
並列構成(A)の場合、RLEDの値は、予め決められた供給電圧(VLED)、LEDの公称順方向電圧、並列LEDの数に依存し、各LEDが約20mAを消費します。たとえば、10個の並列白色LED(20mA時の順方向電圧が約3.0V)があり、VLEDが5Vの場合、RLEDは10Ωです。RLEDの10Ωという値は、式1で求められます。


ここで、VLED=電源電圧(図2より)、
N:LEDの数=10
I1:20mA(注:ILED=I1*N)
RLED:LEDのバイアス抵抗
VX:20mA(LEDの公称電圧降下)
I1:20mA(注:ILED=I1*N)
RLED:LEDのバイアス抵抗
VX:20mA(LEDの公称電圧降下)
直列構成(B)では、各LEDに同じ大きさの電流が流れ、順方向電圧は異なります。この直列構成で多色のLEDを実現することができます。この構成の場合、電源電圧は各LEDの公称電圧の和に、抵抗RLEDの電圧降下を加えたものに等しい値です。
たとえば、この直列構成の中に10個の赤色LED(順方向電圧約1.9V)があり、330Ωの抵抗に20mAを流す場合、システムの供給電圧(VLED)は、約25.6Vです。この構成では、1つのLEDの不具合または断線によってストリング全体が故障します。
並列と直列のLEDの組み合わせ(C)は、双方の良いとこ取りです。この構成では、直列ストリングに含まれるLEDの数が少なくなっています。このため、VLEDの値は小さくなります。また、並列のLEDも少ないため、電流を他より多く消費するLEDができる可能性も下がります。
その他の利点として、この構成では従来の静的な電圧源の代わりに、プログラム可能な電流出力DACを経済的な励起光源として使えます。
プログラム可能LEDの制御方法
図2において、並列(A)、直列(B)、並列と直列の組み合わせ(C)の各構成でのLED駆動回路には、直列抵抗RLEDと電圧源VLEDがあります。これら3種類の構成では、順電流を小さくする(VLEDを低減するかRLEDを大きくする)と、LEDが減光します。
電圧出力DACは、VLEDとしてプログラム可能電圧を供給できます。しかし、必要となる大きな電流が問題になる場合があります。電圧出力DACはLEDに必要な大電流を供給できないことが多く、パワーアンプ(オペアンプ)が必要な場合がよくあります。
手動のポテンショメータか、いっそのことデジタルポテンショメータでRLEDを置き換えることもできますが、ポテンショメータが0Ωに近づくときの大電流を扱う方法など、消費電力の制約があります。
電圧出力DACとポテンショメータに関わる問題と複雑さを避ける最もエレガントな設計方法は、代わりに電流出力DACを使うことです。
電流出力DACは、プログラム可能電流をLEDに供給できます。このDACに不可欠な仕様は、各LEDに20mAの電流を高分解能で供給できる能力です。電流が調節できるこの能力を利用し、トランスインピーダンスアンプ(TIA)の助けを借りて、目的とする輝度に合わせることができます(図3)。


図3:プログラム可能な電流出力DACでLED順電流制御を行い、TIAで輝度制御を実現。(画像提供:Digi-Key Electronics)
図3において、2つのLEDは20mAの励弧電流でそれらの順方向電圧レベルに達しようとします。図3のLEDシステムを完結させるため、TIAのフロントエンドのフォトダイオード(PD)がLEDの輝度を検出します。このシステムにおけるアンプの要件は、フォトダイオードの電流(IPD)との競合を防ぐための小さな入力バイアス電流と、PDでの電圧降下を最小に保つための低い入力オフセット電圧です。
プログラム可能な輝度LEDコントローラの実装
プログラム可能な輝度LEDコントローラシステムの実装には、Analog DevicesのADuCM320BBCZのような高精度のアナログマイクロコントローラに加えて、電流出力DACであるAD5770RBCBZ-RL7とオペアンプのADA4625-1ARDZ-R7(どちらも、Analog Devices提供)が必要です。
このマイクロコントローラは、
・14ビットDACの出力電流値を制御し、
・TIAの出力電圧を受けて内蔵の14ビットA/Dコンバータ(ADC)に送り、
・輝度制御に必要な計算を実行します。
・TIAの出力電圧を受けて内蔵の14ビットA/Dコンバータ(ADC)に送り、
・輝度制御に必要な計算を実行します。
プログラム可能DACは正確な出力電流をLEDに供給し、TIAとして構成されたオペアンプは、フォトダイオードを通じてLEDのアナログ輝度を受け取ります。そしてTIAは、出力電圧(VOUT)をマイクロコントローラのADC入力に送ります(図4)。


図4:この高精度なシステムは、プログラム可能電流をLEDに供給して輝度を制御。(画像提供:Digi-Key Electronics、Analog DevicesのオンラインソフトウェアPhotodiode Circuit Design Wizardで作成)
電流の大きさは、フィードバックループのTIAを使用したシステム制御下にあります。オペアンプADA4625-1は、15pAの入力バイアス電流(データシートより)と15µVのオフセット電圧により、TIAとしての広いダイナミックレンジを持ちます。このダイナミックレンジにより、LEDを最大輝度から完全に暗い状態まで変化させられる、輝度の高度な柔軟性が実現します。
システム設計者が、LEDの輝度の範囲とバリエーションを決定します。たとえば、14ビットDACの場合、214(16,384)個に分割できます。フルスケール出力が100mAであるこのDACの場合、最下位ビット(LSB)のサイズは次の式から6.1µAとなります。
式の要素の意味は、次のとおりです。

IDACxLSB:チャンネルxの電流のLSBサイズ
IDACMAX:チャンネルの最大定格電流
N:DACのビット数

IDACxLSB:チャンネルxの電流のLSBサイズ
IDACMAX:チャンネルの最大定格電流
N:DACのビット数
5.0Vの電源電圧で、この6チャンネルのAD5770Rは2つの直列LEDを20mAの公称電流で駆動します。この回路では、LED電圧がそれ自体の順方向電圧レベルに達しようとします。
図4に示す回路では、各出力ポート(IDAC0-IDAC5)の最大出力電流は、調節して公称値の50%まで下げられます。この柔軟性により、設計者はLEDの励弧電流をよりよく調整できます。この作用により、LSBの表す電流の大きさも小さくなります。
再び図4において、IDAC2の最大電流は55mA、IDAC5の最大電流は45mAです(データシートより)。IDAC2のストリングのLEDが赤色LEDの場合、IDAC2ピンの公称電圧は1.9V×2(=3.8V)、このDACのLSBのサイズは3.4mAです。
このシステムの精度をさらに高めるため、DACの内蔵リファレンス発生器を外部リファレンスまたは追加の高精度抵抗器で置き換えることができます。
最後に、AD5770Rは、設計者が出力コンプライアンス電圧、出力電流、内部ダイの温度のすべてを外部ADCを使用して監視できる、多重化された内蔵診断機能を備えています。
電流出力DACであるAD5770Rは、出力ノイズスペクトル密度がそれぞれ19nA/√Hzと6nA/√HzのIDAC2およびIDAC5による、低ノイズ制御されたプログラム可能電流源を使用して、2つのLEDからなるストリングを駆動します。
電流出力DACであるAD5770Rは、出力ノイズスペクトル密度がそれぞれ19nA/√Hzと6nA/√HzのIDAC2およびIDAC5による、低ノイズ制御されたプログラム可能電流源を使用して、2つのLEDからなるストリングを駆動します。
まとめ
LEDには、物理的な丈夫さ、長寿命、エネルギー消費の低さ、高速スイッチング能力、小さなサイズなど、他の照明技術を上回る数多くの利点があります。しかし、広く使用されているにも関わらず、LEDの出力輝度を精密かつ効果的に制御することは、現在でも容易ではありません。
すでに説明したとおり、LEDの精密な輝度制御は、高精度マイクロコントローラADuCM320BBCZ、高確度のプログラム可能電流出力14ビットDACであるAD5770、TIA構成のJFETオペアンプADA4625-1を使用して実現できます。この組み合わせを使用すれば、すべてのLEDドライバ電流を監視する十分な診断能力により、高精度なLED輝度の要件を満たし、調光制御を実現することができるのです。
免責条項:このウェブサイト上で、さまざまな著者および/またはフォーラム参加者によって表明された意見、信念や視点は、Digi-Key Electronicsの意見、信念および視点またはDigi-Key Electronicsの公式な方針を必ずしも反映するものではありません。
免責条項:このウェブサイト上で、さまざまな著者および/またはフォーラム参加者によって表明された意見、信念や視点は、Digi-Key Electronicsの意見、信念および視点またはDigi-Key Electronicsの公式な方針を必ずしも反映するものではありません。
このページのコンテンツはDigi-Key社より提供されています。
英文でのオリジナルのコンテンツはDigi-Keyサイトでご確認いただけます。
Digi-Key社の全製品は 1個からマルツオンラインで購入できます

ODM、OEM、EMSで定期購入や量産をご検討のお客様へ【価格交渉OK】
毎月一定額をご購入予定のお客様や量産部品としてご検討されているお客様には、マルツ特別価格にてDigi-Key社製品を供給いたします。
条件に応じて、マルツオンライン表示価格よりもお安い価格をご提示できる場合がございます。
是非一度、マルツエレックにお見積もりをご用命ください。





