マルツTOP > APPLICATION LAB TOPページ > おすすめ技術記事アーカイブス > LEDノイズと歪みを軽減して正確なパルスオキシメトリを実現
LEDノイズと歪みを軽減して正確なパルスオキシメトリを実現
パルスオキシメトリは、病院の患者や一般的な診察、新生児医療、家庭での健康モニタリングなどで、血液酸素飽和度や脈拍数を測定できる非侵襲的(身体を傷つけない)な方法です(図1)。これらのアプリケーションでは精度が決定的に重要ですが、LED信号のノイズと歪みが大きすぎるということから、多くの場合その実現が困難です。
一般に、パルスオキシメトリに使用される赤色LEDや赤外LEDは、人体の半透明な部位(通常、被検者の指や耳たぶ。乳幼児の場合、多くは足)を透過します。その光は、発せられた光の明度などの特性を取り込むフォトダイオードまで通り抜けます。

一般に、パルスオキシメトリに使用される赤色LEDや赤外LEDは、人体の半透明な部位(通常、被検者の指や耳たぶ。乳幼児の場合、多くは足)を透過します。その光は、発せられた光の明度などの特性を取り込むフォトダイオードまで通り抜けます。
図1:このポータブルなパルスオキシメータの中に被検者が指を入れると、血中酸素濃度と心拍数が明確に表示されます。(画像提供:Zacurate)
血液酸素飽和度は、酸化ヘモグロビン(HbO2)の還元ヘモグロビン(Hb)に対する比率で計算されます。脈拍数を測定するため、システムは脈動する血液の波形サンプルをいくつか収集します。これら2つのパラメータを正確に測定するには、LED信号のノイズと歪みの両方を低減させる必要があります。
この記事では、まず標準的なパルスオキシメータの電子回路ブロック図について考察します。次に、適切なLED駆動ソリューションと、これらを応用してLEDドライバ回路のノイズと歪みを低減できる設計について紹介します。
パルスオキシメータのエレクトロニクス
パルスオキシメータの主要な電子ブロックは、LED送信回路と光検出システムです。標準的なパルスオキシメータの電子回路は、フィンガーグローブ上部に装着された2つのLEDと底部の光検出器によって構成されます(図2)。

図2:パルスオキシメータで正確な測定を行うには、赤色(HbO2)および赤外(Hb)駆動回路からの信号に伴うノイズと歪みを低減させる必要があります。(画像提供:Bonnie Baker氏)
図2:パルスオキシメータで正確な測定を行うには、赤色(HbO2)および赤外(Hb)駆動回路からの信号に伴うノイズと歪みを低減させる必要があります。(画像提供:Bonnie Baker氏)
図2において、2つのLEDドライバ回路の素子は、LEDアンプドライバ回路を搭載した低ノイズデジタル/アナログコンバータ(DAC)です。赤色LEDや赤外LEDは、高電流レベルと低電流レベルのパルス信号を交互に送出し、生成された2種類のパルス幅を持つ信号が指を透過します。これら2つのLEDへ届く駆動信号のタイミングがオフセットされるため、信号を受け取る光検出器が1つの信号を他の信号から分離できます。これらの電流パルスは、一般に100μsのオーダーでアクティブHになります。
赤色LEDと赤外LEDのピーク波長は、それぞれ660nm(HbO2)と940nm(Hb)です。HbO2とHbはスペクトル反応が異なるため、異なる波長が使用されます。これら2つの数値による比率の計算により、血中酸素量のパーセンテージ(SpO2)を見積もることができます。
トランスインピーダンス回路やI-Vフォトダイオード回路に使用する素子は、オペアンプ、アナログノッチフィルタ、ゲインアンプです。このゲインアンプに続くのがA/Dコンバータで、デジタル出力をDSPチップへ送ります。
LEDドライバ回路
パルスオキシメータ回路の信号パスは、LEDドライバから開始されます。単一電源LEDドライバのチェーンには、電圧リファレンス(U1)、D/Aコンバータ(U3)、D/Aコンバータ出力バッファ(U4)、トランジスタ電流源(Q1)があります(図3)。

図3:(右側にあるフォトダイオードレシーバを搭載する)パルスオキシメータシステム用に簡素化されたLEDドライバ。(画像提供:Bonnie Baker氏。アナログデバイセズの資料を編集して使用)
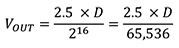
電圧リファレンス(U1)は16ビットD/Aコンバータ用であり、式(1)に従いアナログ出力電圧を定義します。
(1)
ここで、D:DACレジスタにロードされた10進データワード、N:D/Aコンバータのビット数。
電圧リファレンス(U1)は16ビットD/Aコンバータ用であり、式(1)に従いアナログ出力電圧を定義します。
ここで、D:DACレジスタにロードされた10進データワード、N:D/Aコンバータのビット数。
たとえば、U1がアナログデバイセズのADR4525BRZ-R7シリーズの2.5V電圧リファレンスであり、U3がアナログデバイセズのAD5542AACPZ-REEL7 16ビットシリアルD/Aコンバータである場合、式(1)は以下のようになります。
(2)
その結果、D/Aコンバータのミッドスケール電圧は1.25V、最下位ビット(LSB)サイズはVREF/(2N)=2.5/65,536=38.1μVとなります。
ADR4525は、高精度かつ低ノイズ(1.25mVp-p、0.1Hz~10Hz)であり、温度変動に対し安定した基準を維持できるように設計されています。このデバイスでは、出力電圧温度係数(最高2ppm/℃)および長期出力電圧ドリフト(60℃、1000時間以上で25ppm)が低く抑えられているため、長期間および温度の変動という条件下でもシステム精度を維持できます。ADR4525Bの初期室温誤差は、最大±0.02%です。
LEDドライバのノイズ解析
LEDドライバ回路のノイズ解析では、16ビットD/Aコンバータが周辺機器を選択する場合の基準になります。つまり、D/Aコンバータの分解能が12ビットであれば、LSBサイズは601.35mVとなり、電圧リファレンスとオペアンプのノイズ要件が緩和されます。ただし、LEDドライバ回路では、近傍DCノイズおよび非直線性がLEDの輝度レベルに影響します。近傍DCノイズ源は、以下が原因となって生成されます。
・DACの積分非直線性および微分非直線性
・電圧リファレンスの1/fノイズとアンプの1/fノイズ
・アンプのコモンモード歪み
これらのノイズ源については、詳しく考察していく必要があります。
・電圧リファレンスの1/fノイズとアンプの1/fノイズ
・アンプのコモンモード歪み
これらのノイズ源については、詳しく考察していく必要があります。
DACの積分非直線性および微分非直線性
微分非直線性(DNL)は、実際のステップサイズと1LSBの理想値との差です。DNL誤差が-1LSB未満の場合、ミッシングコードの原因となります。AD5542A 16ビットD/Aコンバータの微分非直線性誤差は、約±0.4LSBの範囲内です(図4)。

図4:アナログデバイセズのAD5542A 16ビットD/Aコンバータにおける微分非直線性とコードの対比により、その微分非直線性誤差は約±0.4LSBの範囲であることがわかります。(画像提供:アナログデバイセズ)
積分非直線性(INL)誤差は、測定されたオフセット誤差とゲイン誤差をゼロ設定し、理想的な増幅特性曲線の出力電圧からの実際の出力電圧の最大逸脱幅を示します。AD5542AのINL誤差は、約-0.6LSB~+0.25LSBの範囲です(図5)。

図5:AD5542Aにおける積分非直線性とコードの対比のグラフにより、積分非直線性(INL)誤差は約-0.6LSB~+0.25LSBの範囲であることがわかります。(画像提供:アナログデバイセズ)
図4、図5の非直線性グラフから、最大アナログノイズは非直線性の最大値に対して1/3または0.6LSBとなり、以下の式となります。
(3)
積分非直線性(INL)誤差は、測定されたオフセット誤差とゲイン誤差をゼロ設定し、理想的な増幅特性曲線の出力電圧からの実際の出力電圧の最大逸脱幅を示します。AD5542AのINL誤差は、約-0.6LSB~+0.25LSBの範囲です(図5)。
図5:AD5542Aにおける積分非直線性とコードの対比のグラフにより、積分非直線性(INL)誤差は約-0.6LSB~+0.25LSBの範囲であることがわかります。(画像提供:アナログデバイセズ)
図4、図5の非直線性グラフから、最大アナログノイズは非直線性の最大値に対して1/3または0.6LSBとなり、以下の式となります。
電圧リファレンスの1/fノイズとアンプの1/fノイズ
1/fノイズの周波数範囲は、0.1Hz~10Hzとなります。電圧リファレンス(U1)と基準バッファ(U2)は、D/Aコンバータ(U3)に直接供給されます。U1とU2の1/fノイズ寄与率を組み合わせる場合は、二乗和(RSS)計算を使用することをお勧めします(式4)。
(4)
1/fノイズの周波数範囲は、0.1Hz~10Hzとなります。電圧リファレンス(U1)と基準バッファ(U2)は、D/Aコンバータ(U3)に直接供給されます。U1とU2の1/fノイズ寄与率を組み合わせる場合は、二乗和(RSS)計算を使用することをお勧めします(式4)。
U1がADR4525シリーズの2.5V電圧リファレンスである場合、1/fノイズは1.25mVP-Pとなります。さらに、U2とU4はそれぞれアナログデバイセズのADA4500-2(10MHz、14.5 nV/√Hz、レールツーレールI/O、ゼロ入力クロスオーバー歪オペアンプ)の半分を担います。ADA4500-2の場合、1/fノイズは2mVP-Pとなります。
式(4)を用いると、D/AコンバータのREFFピンに入る1/fノイズの合計は、以下のようになります。
電圧リファレンス(U1)とバッファアンプ(U2)のノイズは、D/AコンバータのLSBサイズと比較して著しく小さくなっています。
アンプのコモンモード歪み
U4のD/Aコンバータバッファオペアンプの入出力振幅は、レールツーレールです。標準的なレールツーレール入力アンプでは、2つの差動ペアを使用してレールツーレール入力振幅を実現できます。低コモンモード範囲では下の差動ペアがアクティブになり、高い範囲では他方の差動ペアがアクティブになります。いずれの差動ペアにも固有のオフセット電圧があります。この標準的な相補型デュアル差動ペアが、クロスオーバー歪みを引き起こします(図6)。同様に、このアンプにおけるオフセット電圧の変化がD/Aコンバータバッファとして非直線性の原因となります(図7)。
図6:2つの差動入力ペアにより、オフセット電圧がコモンモード入力電圧の範囲全体にわたる歪みの原因となります。(画像提供:Bonnie Baker氏)
図7:2つの差動入力構造を持つアンプ出力バッファによるDAC非直線性。(画像提供:アナログデバイセズ)
図7は、オペアンプの非直線性を示しています。コモンモード電圧が上昇すると、アクティブな差動ペアがPタイプペアからNタイプペアへと変化し、クロスオーバー歪みの原因となります。このクロスオーバー歪みが+4LSB~-15LSBの誤差振幅を引き起こします。
ただし、ADA4500-2は1つの差動入力ペアのみを使用してレールツーレール入力振幅を実現するという点で標準的なアンプではないため、クロスオーバー歪みが発生しません。これは入力構造で正電圧チャージポンプを使用し、フルのレールツーレール入力振幅を得ることで実現できます。
この場合は新たな利点として、デュアルオペアンプADA4500-2の後半部分を使用してD/Aコンバータバッファアンプ(U4)を形成できます。前述のように、前半部分は電圧リファレンスのバッファアンプであるU2に使用されます。
D/Aコンバータ(U3)の出力インピーダンスは一定(通常、6.25kΩ)であり、コード独立型です。出力バッファ(U4)で誤差を最小限に抑えるには、入力バイアス電流を低くし、入力インピーダンスを高くする必要があります。これらの要件により、室温での2ピコアンプ(pA)の入力バイアス電流、高い入力インピーダンス、-40℃~+125℃の温度範囲にわたる190pAの最大入力バイアス電流を仕様とするADA4500-2が適切な製品となります。
ノイズ測定
ノイズ測定
この完全なLED駆動システムの目標ノイズは、15mVP-P未満です。データシートの仕様によると、選択されたコンポ―ネントのノイズ寄与率は以下のようになります。
・U3:D/Aコンバータ AD5542A
16ビットD/Aコンバータ
0.134μVP-P
・U1:電圧リファレンスADR4525
2.5V出力基準
1.25μVP-P
・U2:アンプADA4500-2(基準バッファ)
コモンモードクロスオーバー歪みなし
2μVP-P
・U4:アンプADA4500-2(DACバッファ): 2μVP-P
コモンモードクロスオーバー歪みなし
2μVP-P
16ビットD/Aコンバータ
0.134μVP-P
・U1:電圧リファレンスADR4525
2.5V出力基準
1.25μVP-P
・U2:アンプADA4500-2(基準バッファ)
コモンモードクロスオーバー歪みなし
2μVP-P
・U4:アンプADA4500-2(DACバッファ): 2μVP-P
コモンモードクロスオーバー歪みなし
2μVP-P
データシートの仕様によると、コンポーネントU1~U4のRSSノイズは3.1mVP-Pです。この回路では、ゲインが10,000V/Vであるノイズ測定器に0.1Hz~10Hzのフィルタを装備し、実際のノイズ測定を行っています(図8)。

図8:10,000V/Vのゲインで0.1Hz~10Hzのノイズ測定を行うテストの設定。(画像提供:アナログデバイセズ)
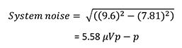
アナログデバイセズのEVAL-CN0370_PMDZ評価キットでは、回路の測定データを生成します(当初は図3に記載)。差動入力を短絡すると、測定器のノイズ出力と、接続された回路のノイズはそれぞれ7.81mVP-P (図9)、9.6mVP-P (図10)となります。

図9:入力S/N比測定器を短絡して出力ノイズを測定すると、78.1mVP-P (または入力換算で7.81μVP-P)となります。(画像提供:アナログデバイセズ)

図10:Analog DevicesのEVAL-CN0370_PMDZを接続して出力ノイズを測定すると、96mVP-P (または入力換算で9.6μVP-P )となります。(画像提供:アナログデバイセズ)
この2つのシステムから得られた無相関ノイズとRSS式の組み合わせにより、以下の式が得られます。
(6)
LED駆動時のノイズ電流は、5.58mVP-P を124Ωで除算した45nAP-Pに等しくなります。

図11:EVAL-CN0370_PMDZ回路評価ボードは完全な単一電源、低ノイズLED電流源ドライバです。16ビットD/Aコンバータで制御されます(すべてPMODフォームファクタに格納)。(画像提供:アナログデバイセズ)
LED駆動時のノイズ電流は、5.58mVP-P を124Ωで除算した45nAP-Pに等しくなります。
図11:EVAL-CN0370_PMDZ回路評価ボードは完全な単一電源、低ノイズLED電流源ドライバです。16ビットD/Aコンバータで制御されます(すべてPMODフォームファクタに格納)。(画像提供:アナログデバイセズ)
結論
赤色LEDや赤外LEDはパルスオキシメータで使用され、血液酸素飽和度や脈拍数の非侵襲的測定に活用されます。その役割は、フォトダイオードが受け取るエネルギーに基づき、被検者の指を十分に照射して、酸化ヘモグロビン(HbO2 )の還元ヘモグロビン(Hb)に対する比率を測定することです。
システム設計者にとっての課題は、LEDを駆動する電流のノイズと歪みを低減させることです。ご覧のように、この課題には16ビットD/Aコンバータと1/f領域の低ノイズデバイスを、クロスオーバー歪みのないレールツーレールLEDドライバアンプと組み合わせることで対処することができます。
免責条項:このウェブサイト上で、さまざまな著者および/またはフォーラム参加者によって表明された意見、信念や視点は、Digi-Key Electronicsの意見、信念および視点またはDigi-Key Electronicsの公式な方針を必ずしも反映するものではありません。
このページのコンテンツはDigi-Key社より提供されています。
英文でのオリジナルのコンテンツはDigi-Keyサイトでご確認いただけます。
Digi-Key社の全製品は 1個からマルツオンラインで購入できます
ODM、OEM、EMSで定期購入や量産をご検討のお客様へ【価格交渉OK】
毎月一定額をご購入予定のお客様や、量産部品としてご検討されているお客様には、マルツ特別価格にてDigi-Key社製品を供給いたします。
条件に応じて、マルツオンライン表示価格よりもお安い価格をご提示できる場合がございます。
是非一度、マルツエレックにお見積もりをご用命ください。






